Katalysatoreinflsse auf die Alkylierung ambidenter Anionen unter
Phasentransfer-Bedingungen
Im Rahmen dieser Diplomarbeit wurden 2 Systeme ambidenter Anionen unter phasentransfer-katalytischen
Bedingungen alkyliert. Hierbei wurden Abhängigkeiten der Ausbeuten, der Produktverhältnisse,
der Reaktionsgeschwindigkeiten von Art und Menge des Katalysators, von Temperatur und Lösungsmittel,
von Base und Alkylierungsmittel untersucht.
Die folgenden Systeme wurden untersucht:
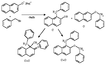
Benzylierung von Beta-Naphtholat
Durch Benzylierung am Sauerstoff entsteht Benzyl-2-naphthylether (O) und durch
Benzylierung am Kohlenstoff 1-Benzyl-2-naphthol (C), das in einer Folgereaktion sowohl am
Sauerstoff zu 1,1-Dibenzyl-naphthalin-2-on (C+C) als auch am Kohlenstoff zu
1-Benzyl-2-benzyloxy-naphthalin (C+O) benzyliert werden kann.
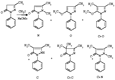
Methylierung von 1-Phenyl-3-methyl-5-pyrazolon
Die Methylierung von 1-Phenyl-3-methyl-5-pyrazolon wurde bereits 1895 von Knorr
beschrieben,
wobei er durch Reaktion mit Natriummethylat und Methyliodid
folgende sechs Produkte erhielt:
- 1-Phenyl-2,3-dimethyl-5-pyrazolon (N)
- 1-Phenyl-3,4-dimethyl-5-pyrazolon (C)
- 1-Phenyl-3,4,4-trimethyl-5-pyrazolon (C+C)
- 1-Phenyl-2,3,4-trimethyl-5-pyrazolon (C+N)
- 1-Phenyl-3-methyl-5-methoxy-pyrazol (O)
- 1-Phenyl-3,4-dimethyl-5-methoxy-pyrazol (C+O)
Die Ergebnisse dieser Unteruchungen können in folgender
Veröffentlichung nachgelesen werden:
Eckehard V.Dehmlow and Robert Klauck, Steering Effects of Phase Transfer Catalysts on
the Benzylation of 2-Naphtholate and the Methylation of 3-Methyl-1-phenyl-5-pyrazolone
J. Chem. Research (S) 1994, 448-449.